Navzdory řadě studií a metaanalýz zůstávají nejasnosti ohledně dopadu sucha na růst stromů a procesů obnovy po suchu. Tyto nejistoty jsou důvodem k obavám vzhledem k očekávanému nárůstu such. Obnova růstu po suchu může záviset na druhu stromu, místních klimatických podmínkách, charakteristikách sucha a hustotě porostu. Studie ukázaly, že sezónnost sucha hraje důležitou roli; například jarní sucho může mít větší dopad než sucho v jiných obdobích. Sezónnost sucha a klimatická citlivost lokalit ovlivňují (za klimaticky citlivou lokalitu je označena ta, ve které radiální růst stromů významně koreluje s klimatickými proměnnými, tj. srážky a vodní bilance) schopnost stromů obnovit růst. I když listnaté duby (Quercus spp.) jsou obecně považovány za suchu odolné, jejich reakce na extrémní sucha může být různá.
Celý článek najdete zde.
Pro kvantifikaci dopadů sucha byl porovnán růst před a během období sucha a bylo hodnoceno tempo obnovy růstu po suchu. Vědci analyzovali v předkládané studii vztah mezi radiálním růstem a klimatickými faktory, jako jsou teplota, srážky a vodní bilance. Zaměřili se na identifikaci geografických a sezónních trendů v reakci na extrémní sucha a posoudili, zda a jak se vzory obnovy růstu liší podle ročního období a klimatické citlivosti lokalit. Tyto údaje umožnily lepší pochopení růstových mechanismů a odolnosti dubů vůči suchu.
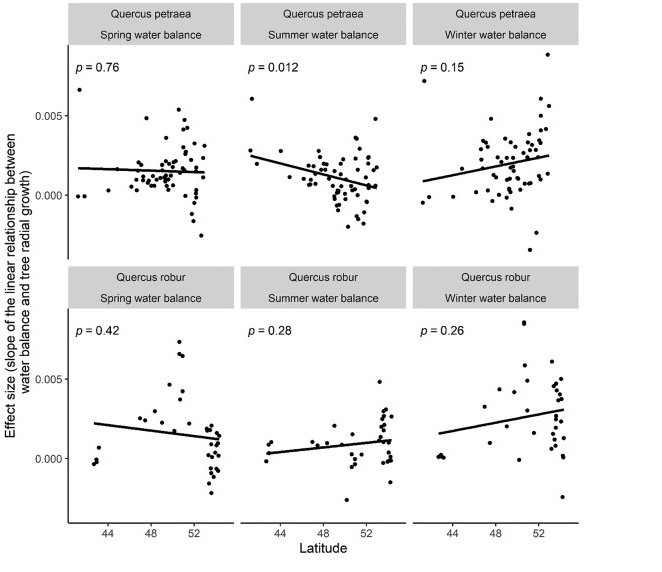
Získané výsledky ukázaly, že srážky a klimatická vodní bilance (CWB - rozdíl mezi množstvím vody, které vstupuje do a vystupuje z určitého území v rámci určitého časového období, obvykle jednoho roku) byly klíčovými faktory ovlivňujícími růst dubů. Klimatické podmínky předchozí zimy měly největší vliv na růst, s pozitivní korelací ve většině lokalit. Letní teplota předchozího roku měla negativní vliv na růst na několika lokalitách, zatímco jarní teplota předchozího roku měla vliv pozitivní. Klimatická citlivost (schopnost nebo míra, do jaké ekosystémy, organismy, nebo prostředí reagují na změny klimatických podmínek) byla podobná u obou druhů dubu, Quercus robur a Quercus petraea.

Umístění 64 lokalit výzkumu druhu Quercus petraea a 36 lokalit druhu Q. robur rozložených podél šířkového gradientu, který se táhne od centrálního Španělska až po severní Německo, včetně jejich přirozeného areálu rozšíření.
Výsledky studie ukazují, že sezónnost sucha je klíčovým faktorem ovlivňujícím radiální růst dubů (Q. petraea a Q. robur) v Evropě. Během tříletého období po suchu se oba druhy nedokázaly plně zotavit, zejména po jarních suchách. Q. petraea (na klimaticky necitlivých místech) vykazoval pomalé zotavení po jarním, letním i zimním suchu. Intenzita sucha neměla statisticky významný vliv na pokles růstu během sucha ani na jeho obnovu. Studie potvrzuje, že dostupnost vody v zimě má silnější vliv na růst než současná letní sucha.
Analýza rovněž ukázala, že radiální růst dubů je silněji ovlivněn srážkami než teplotou s výraznými rozdíly mezi jižním a severním okrajem jejich areálu. Zimní vodní bilance byla klíčová, zvláště v severních oblastech, kde se zimní vlhkost může promítnout do růstu na jaře. Jarní sucha měla největší dopad na obnovu růstu, a to jak u Q. petraea, tak Q. robur s pozorovaným pomalým zotavením po jarních suchách.

Vliv efektu (tj. sklon lineárního modelu) klimatické vodní bilance (srážky minus potenciální evapotranspirace) tří různých ročních období (aktuální jaro, aktuální léto a předchozí zima) na radiální růst stromů na úrovni lokality v závislosti na zeměpisné šířce u dvou druhů dubů. Celkový počet lokalit pro Quercus robur a Q. petraea je 36 a 64, respektive. Hodnota p ukazuje úroveň statistické významnosti.
Citlivost na jarní sucha byla u dubů větší v klimaticky necitlivých lokalitách, kde stromy nemohly plně obnovit růst během tří let. Naše zjištění ukazují, že sezónnost sucha a klimatická citlivost lokalit hrají důležitou roli v odolnosti a obnově růstu dubů po suchu. Tyto poznatky jsou důležité pro predikci reakcí lesních ekosystémů na měnící se klimatické podmínky v Evropě.
Podle Climate sensitivity and drought seasonality determine post-drought growth recovery of Quercus petraea and Quercus robur in Europe, Science of the Total Environment, red.






















Komentáře
Takže pro nás méně učené - vzrůstnost dubu závisí na šířce bělového dřeva - to žene vodu do korun. Duby v suchých lokalitách, stejně jako přehoustlých kmenovinách ji mají úzkou a blbě tak rostou.
To co dělá sucho, je jednak rozšiřování jádra nad normál a jednak zúžení letokruhů - což obojí zužuje běl. Čili - obnova růstu dubu je odvislá od rozšíření běle - což se děje jedna časem - odclonění spodního patra nebo deštivým obdobím - širší letokruhy. To se vzájemně různě načítá a odečítá rozšiřováním jádra. Proto suché lokality rostou blbě, ale nejsou tak reaktivní na sucho a zamořené lokality víc reagují na sucho - rychlejší úbytek běli.
Dub na sucho reaguje zůžením běli a snížením vodního zásobení v periferii - tedy v koruně. Prosychání korun na suchých stanovištích, přehoustlých lesích a v periodě sucha.
Naopak na zálivku po období sucha reaguje vlčením - žene vodu do nezaschlých částí ve spodní části kmene.
Takže u nás většina drnáků v posledních letech obrazila na celé bázi kmene i větvích.
Dub hice a sucho přežije, ale změní habitus - čím víc na slunci, tím víc vlčí, což není světlem, ale prvotním zúžením běle a následným přetlakem mízy ve spodní bázi kmene.
A pak ještě reaguje na letní zálivku druhotným rašením - teď asi 14 dní roste jak vzteklej - a tím dohání průměr běli. To je mimochodem podstatný plus pro dub - smrk roste květen, červen a šmidra - jak chytne sucho, už to nedá - dub zalitý v červenci roste v tom roce podruhý.
Dub je prostě - ve směsi - špicovná dřevina pro hice. Jen udržet kvalitu dřeva na suchu bývá problém. Proto to "křivoklátsko". Čím víc sucho, tím víc směs, nebo palivo.
https://www.pollux-fid.de/r/base-fttudresden:oai:qucosa:de:qucosa:27393
" Nakonec je doporučeno několik možností pěstebního managementu pro podporu vitality a růstu druhu. Velká koruna s hustým olistěním a dobře vyvinutý kořenový systém jsou zásadními podmínkami pro individuální vitalitu, kterou je třeba posílit například snížením hustoty porostu v raném věku. "
Sucho přesně ukazuje, proč přehoustlé duby v mládí nemají dobrou perspektivu.
Šířka bělového dřeva je motorem růstu - přehoustlý dub má běl úzkou - když se udělá pozdní probírka, dojede k tomu, co po suchu - zvlčení a zaschnutí koruny - běl reaguje velmi pomalým růstem - strom roste blbě, páč má úzkou běl a běl se zvětšuje pomálu, páč jsou malý letokruhy - dub sedí.
Strom musí být od mala v růstu aby zvládal valit vodu do koruny - běl je jako průměr potrubí - čím menší, tím míň propustí a blbě roste.
To sucho - kdo to pozoruje bedlivě - každýho vyučí, co se dělá blbě v dobách dobrých.
To, že se to nedožene jedním deštěm, to že blbým zásahem snadno definitivně zmršíte porost a další a další.
Jenom odtrhnout oči od tabulek a chodit po lese, ten vás vyučí líp jak univerzity.